arminstraub.com

Software

congruenceschemes: Computing congruence schemes

This Sage package for computing congruence schemes accompanies the paper On congruence schemes for constant terms and their applications.

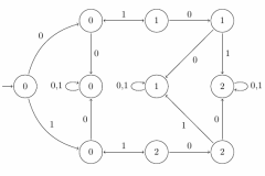
For instance, the little picture to the side shows a congruence automaton for the 2-adic valuation of the Motzkin numbers (see Section 3.2 in the paper for more details).

krop: A tool to crop the pages of PDF files

krop is free software, that I wrote and released under GPLv3+ in the sole hope that you or someone else may find it useful. It is written in Python and relies on PyQT, python-poppler-qt5 and PyPDF2 for its functionality.

A unique feature of krop is its ability to automatically split pages into subpages to fit the limited screen size of devices such as eReaders. This is particularly useful, if your eReader does not support convenient scrolling.

LsToLi: Evaluating log-sine integrals

This computer algebra package for evaluating log-sine integrals in polylogarithmic terms accompanies the paper Special values of generalized log-sine integrals.

Implementations for Mathematica as well as, less complete, for Sage are available.

PSLQ: A gentle introduction and implementation

The PSLQ algorithm finds integer relations among a set of real numbers. This is an introduction suitable for advanced undergraduate students.

A very basic and naive implementation for Mathematica is also included.